The speed at which a person moves depends on several factors:
- the person’s contingent;
- the local flow density around the person;
- the type of path the person is moving along.
Person’s Contingent
In Fenix+, each person is represented as an ellipse. The shape, size, and color of the ellipse are defined by the person’s contingent.
A contingent is a composite property that includes the following characteristics:
- Horizontal projection area – the area occupied by the person while moving. This corresponds to the area of the ellipse representing the person.
- “Width” and “Depth” – parameters that define the shape of the ellipse, i.e., the aspect ratio of its axes. “Width” is the size of the person’s horizontal projection perpendicular to the direction of movement. “Depth” is the size along the direction of movement. Note: These values may differ from the actual dimensions of the visual ellipse on the scene. The ellipse axes are calculated so that the ellipse area equals the specified horizontal projection area. Generally (but not necessarily), the major axis corresponds to shoulder width, and the minor axis to body depth.
- Height – the visual height of the person on the scene. In the current version of Fenix+, this affects only visualization and has no impact on evacuation modeling.
- Color – the color of the triangle marking the person’s ellipse.
- Evacuation path movement parameters – defines which types of paths the person is allowed to move on (“Movement Allowed” property) and the speed–density relationship for the person’s movement.
Important Notes on the “Movement Allowed” Property:
- The “Movement Allowed” setting does not affect a person’s ability to pass through doorways. Regardless of its value, people will still pass through doorways.
- If movement is disabled for either “Stairway Down” or “Stairway Up”, the person will be unable to use stairs at all. The same applies to the pair “Ramp Down” and “Ramp Up”.
Local Flow Density
A person’s movement speed is determined by the local flow density in their vicinity.
Local flow density ($D$ or $D^{*}$ — the notation depends on the unit of measurement) is the flow density within a small neighborhood around a person or another point for which it is being calculated.
Different methods and units of measurement can be used to characterize flow density:
- The number of people $N$ per unit area $S$, where they are located: $D^{*}=N/S$. In this case, the unit of measurement for density is $persons/m^2$. This method does not take into account the contingent of people and, in particular, their horizontal projection area.
- The proportion of area occupied by the horizontal projections of people $N·f$, to the total area $S$, where they are located: $D=N·f/S$. Here $f$ - is the horizontal projection area of a person. In this case, the unit of density is dimensionless, though it is commonly expressed as $m^2/m^2$. This method takes into account the contingent of people, specifically the horizontal projection area.
Flow densities defined using different units of measurement are related by the following expression: $D=D^{*}·f$
In Fenix+, local flow density is calculated using the second method, taking into account the contingent of people and their horizontal projection area $f$.
Each person in the vicinity contributes to the perceived local density. Only the nearest individuals located in front of the person are taken into account. People located behind are not considered when determining local density.
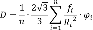
Local flow density for a person is defined as the sum of contributions from others $n$ from the nearest people to the person, located in front of them:

where $R_i$ - is the distance between the $i$-th person, with horizontal projection area $f_i$ and the person for whom the local density is being calculated. $φ_i$ - is a normalization function that accounts for the angular distance between the $i$-th person and the person for whom the local density is being calculated.
Path Type
In Fenix+, there are six types of paths along (or through) which a person can move:
- Horizontal path
- Stairs down
- Stairs up
- Ramp down
- Ramp up
- Dooraway – This refers specifically to the “Door” or “Doorway” scene elements. A simple narrowing of the evacuation path formed by two walls or other objects is not considered an “opening” in the context of evacuation modeling. Movement through such a narrowed section is treated the same as movement along a horizontal path.
For all path types except “Doorway”, the movement speed is determined by the speed–density relationship defined in the person’s contingent properties for that path type. In other words, a person moves at a speed corresponding to the local flow density calculated for them.

Since path segments within openings are typically very short (a few dozen centimeters — shorter than a person’s step length) and have limited throughput capacity (which also depends on the flow density in front of the doorway), movement through an opening is described in terms of the flow intensity through the opening.